时间:2022/6/14 阅读:2568 关键词:MOS场效应管
用一个二极管与Rg2驱动电阻上并联
如下图所示

D1=快恢复二极管
减小关断损耗及关断时间
Rg1限制关断电流
R=mos管栅源极的下拉电阻
干扰或静电,会导致MOS管误导通
因此R1作用:降低输入阻抗,值10k~几十k
Lp=驱动走线的杂散寄生电感
包括驱动IC引脚、MOS引脚、PCB走线的感抗,难确定精准值,取几十nH。
计算驱动电阻Rg值
驱动走线寄生电感和mos场效应管的结电容,会组成一个LC振荡电路
若,驱动芯片输出端直接到栅极,在PWM波上升下降沿会产生很大的震荡,导致MOS管急剧发热甚至爆炸
解决方案:在栅极串联电阻,降低LC振荡电路的Q值,迅速衰减震荡。

驱动电阻下限值
mos开通瞬间,Vcc通过驱动电阻给Ciss=Cgs+Cgd充电
如上图所示,请忽略下拉电阻R1的影响。
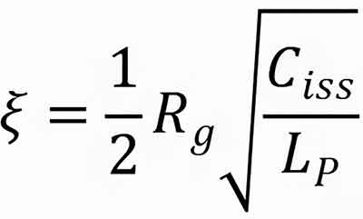
据LC震荡电路模型,列出回路在复频域内对应的方程。

驱动电流Ig值解出,典型二阶系统

根据LC振荡电路,求解二阶系统阻尼系比

LC振荡电路特性,避免ig震荡,系统要处于过阻尼的状态;
即阻尼比 > 1,得Rg=Rg1+Rg2下限范围

驱动关断电阻上限值:
mos场效应管关断时,Vds会产生很大的dv/dt,因寄生电容Cgd,会对回路进行放电继而产生大电流,
据公式:Ic=Cdv/dt
回路上Igd流过驱动电阻Rg
会在GS间产生一个电压
Vgoff=IgdxRg
要它低于MOS导通的门槛电压Vth,规避误导通。

不等式

得驱动电阻Rgoff=Rg1的取值范围

深圳市福田区华强北路
1019号华强广场A座9J
0755-83212595
139 2389 6490 微信
postmasterr@jingyeic.com
全球现货一站配齐
原厂代理分析授权
闪电发货配货快